
为进一步满足企业公众查询医疗器械监管信息的需要,强化社会监督与社会共治,国家药监局汇总了各省(自治区、直辖市)有效期内医疗器械产品注册备案、医疗器械生产企业许可备案、医疗器械经营企业许可备案、医疗器械网络销售备案、医疗器械网络交易服务第三方平台备案信息(附后),按月公布。具体数据可点击国家药监局数据查询页面医疗器械模块查询:复制链接至网页打开
http://app1.nmpa.gov.cn/data_nmpa/face3/dir.html?type=ylqx 如对数据有疑问,请按网站数据库公布的纠错维护方式操作。
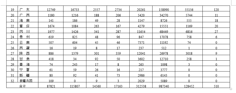
以下为各省医疗器械许可备案相关信息
(点击图片可放大)
来源:国家药品监督管理局
排版:福建省医疗器械行业协会秘书处
点击“阅读原文”,跳转至原网址。
